Bienvenido



Si has llegado a este blog es porque estas buscando información de qué es un micropilote o un recalce, ya sea por temas académicos o porque te ves en la necesidad de usarlos para solucionar un problema de cimentación. Intentaremos, desde aqui, aportarte la solución o la orientación necesaria para solventarlo.

Queremos participar en todas las fases del proyecto, tanto para solucionar un problema de asentamiento como para definirlo, de manera que se plantee desde su redacción una solución viable y ajustada economicamente. Como en otras muchas disciplinas, no nos quedamos sólo en el mundo de los micropilotes, pudiendo aportar soluciones de otros tipos de cimentación (muros pantalla, pilotes, anclajes, etc). Para cualquier consulta, estamos a tu disposición. Nuestra dirección de correo electrónico es micropilotes.clg@gmail.com

lunes, 30 de mayo de 2011

Dimensionamiento de armado de pilotes


Bueno, pues suponiendo que ya sabemos el número de pilotes que vamos a poner bajo cada pilar, ahora hay que ver como armamos cada uno de los pilotes.

Dado que los pilotes de cimentación se dimensionan a compresión, vamos a ir a cuantía mínima. Normalmente los calculas una vez y luego los usas. Vamos a ver el armado de los pilotes de 450 mm de diámetro:

Los de 550:

Y finalmente los de 650:

Me vais a permitir que haga una serie de comentarios que me parecen importantes, sobre todo a la hora del dimensionamiento:

La norma actual española dictamina que, por razones de durabilidad, toda estructura hormigonada contra el terreno debe tener un recubrimiento mínimo de 7 cm en vez de los 5 que se usaban en la versión anterior, instrucción que se aplica a todo tipo de estructuras (zapatas, losas, etc) y no sólo a pilotes. La verdad es que han complicado mucho la correcta ejecución de los pilotes de pequeño diámetro porque se hormigonan con mucha dificultad (no cabe el tubo TREMIE). Por cierto, ya aprovechando, el tubo TREMIE de una sola pieza es garantía de un incorrecto hormigonado.
  • Si se hace un estudio del pilote cargado con un axil y un momento, modelizando el terreno como tipo WINCKER (cambiando la constante en función de cada estrato de terreno, claro está), se puede comprobar que el momento se amortigua entre los 5 y los 6 metros. Vamos, que no hace falta más armadura por mucho que lo diga el arquitecto de turno a no ser que haya algún otro motivo (y puede haberlo). Señores, dimensionamos por motivos técnicos, no para aliviar los miedos de nadie.

Para la organización de los pilotes, el CTE lo organiza de la siguiente manera:

  • Los pilotes de menos de 45 cm no se pueden ejecutar aislados a no ser que sea un proyecto de escasa repercusión (un día deberíamos hablar del término repercusión)
  • Los pilotes entre 45 y 1 metro se pueden dimensionar aislados siempre que vayan arriostrados en dos direcciones perpendiculares (luego se pueden dimensionar a compresión)
  • A partir de un metro se pueden dimensionar pilotes únicos sin necesidad de arriostrar luego, cuidado con esto.


Seguiremos.

martes, 24 de mayo de 2011

Topes estructurales, encepados múltiples


Así, hemos concluido que el tope estructural del pilote se obtendrá multiplicando su área por el coeficiente de trabajo de hormigón. Para que resulte más fácil de aclarar, os pongo una tabla con las capacidades portantes de los pilotes con diferentes topes estructurales.



Como norma general, trabajaremos con un coeficiente de trabajo de 35 kg/cm² para pilotes in situ y si el terreno es realmente bueno y hacemos un CPI-7 muy claro podríamos pasar a 40.

Seguimos hablando desde el punto de vista estructural. En una planta de un edificio, de la que tenemos la bajada de cargas y el plano de planta, ¿cuántos diámetros distintos ponemos? ¿Sólo pilotes únicos? Si ponemos pilotes múltiples debajo de un pilar, ¿qué capacidad portante consideramos?

Cuando trabajaba en Pilotes Sánchez recuerdo que me enseñaron que en obras de menos de 1000 metros es una locura trabajar con más de dos diámetros. Parece un criterio lógico. Es más. Si se dimensiona una obra para varios diámetros, se pueden producir los siguientes problemas:
  • Hay que trasladar utillaje de perforación de cada uno de los diámetros. Y eso se lleva en una góndola y cuesta dinerito.
  •  A más diámetros distintos, más maniobras de cambio de barrenas y menos producción.
  •  A mas diámetros distintos, más armaduras distintas, más complicación en la organización de la obra y más posibilidades de que existan equivocaciones.

Con lo que el criterio anterior parece correcto.

Siguiendo con este criterio, cuando aumentan las cargas de los pilares parece lógico ir a una agrupación de pilotes de diámetro pequeño antes que ir a un pilote de diámetro más grande del que nos van a salir pocas unidades.

Cuando usamos pilotes en grupos hay dos posibilidades, de acuerdo a lo recogido en el libro de José María Rodríguez Ortiz “Curso aplicado de Cimentaciones”:

1.   En el caso de pilotes de hinca, la resistencia del grupo de pilotes es incluso mayor que las sumas de los componentes porque durante la hinca se comprime el terreno. En cualquier caso, se considera, del lado de la seguridad, la resistencia total como la suma de la resistencia de cada uno de los pilotes del grupo.

2.   En el caso de los pilotes in situ, depende del terreno y de la separación entre los pilotes
  • Para pilotes en arena y con distancias entre ejes de entre dos y cuatro diámetros, se puede tomar la suma del total como el 70% de la suma individual de los componentes.
  • Para pilotes en arcilla y con distancias entre ejes de entre dos y 3 diámetros se considera una eficiencia de los pilotes que viene dado por la fórmula:
donde m es el número de pilotes por fila, n el número de pilotes por columna, Ф=arctg (d/2s), siendo s la separación de los pilotes entre ejes y d el diámetro del pilote.
  •  Para pilotes en roca se puede llegar a distancias hasta 1,5 diámetros sin reducir la carga total.

En la NTE “Acondicionamiento del terreno. Cimentaciones” se da un criterio de cálculo bastante aceptado y es el siguiente:
  • La capacidad portante de los pilotes únicos se multiplica por 0,75.
  • La capacidad portante de los pilotes dobles se multiplican por 1,75.
  •  A partir de 3, se multiplica la capacidad portante de cada pilote por el número de pilotes de cada encepado


Seguiremos.


martes, 17 de mayo de 2011

Empezamos con los cálculos.


Vamos a empezar a meter un poco de cálculo en las entradas. Empezaremos con el cálculo de pilotes in situ de cimentación, que nos dará además un posible método de cálculo de micropilotes. Después, haremos el planteamiento del cálculo de pantallas discontinuas de pilotes y micropilotes. Después, ya veremos, ¿no?

Vamos a centrarnos. Hemos realizado un estudio geotécnico de nuestro terreno, que puede ser una estructura de edificación o de obra civil. Lamentablemente (y es lamentable porque se va a gastar mucho dinero de más) se nos informa de que el terreno no es bueno porque no tiene buena capacidad portante para una cimentación directa y tenemos que recurrir a una cimentación mediante pilotes.

Bien. ¿Qué necesitamos para calcular una cimentación mediante pilotes? Hay que conseguir la siguiente documentación:
  • Estudio geotécnico, o en su defecto, gráficas de sondeos, de penetrómetros, valores de resistencia por punta y por fuste, o parámetros del terreno.
  • Plano de planta con el replanteo de pilares.
  • Cargas de pilares en base de cimentación, SIN MAYORAR.

Nota: Os pido paciencia. Conforme voy escribiendo me doy cuenta de que hay cosas que no he comentado, como los ensayos de los estudios geotécnico. Abriré una nueva etiqueta y, poco a poco, lo iremos completando.

Vamos a ir poco a poco. Cuando hablamos de dimensionamiento de pilotes, hay que hacer dos cálculos diferenciados que se deben cumplir simultáneamente:
  1. Hay que verificar que los pilotes son capaces de absorber la carga que transmiten los pilares. Esto se hace mediante el conjunto pilotes-encepados-viga de coronación. Esta es la parte estructural del cálculo  mecánica.
  2. El pilote debe ser capaz de transmitir la carga al terreno mediante un rozamiento lateral (que es la resistencia por fuste) y la parte inferior del pilote (que es la resistencia por punta). Esta es la parte geotécnica del cálculo.

En esta entrada nos vamos a centrar en la parte estructural.

Capacidad portante del pilote.

¿Cuál es la máxima carga que es capaz de absorber un pilote? Viene definida por el tope estructural. ¿Y qué es?. Pues no es más que la sección del pilote por lo que consideremos que es capaz de trabajar el hormigón.

¿Pero esa no es la resistencia a compresión del hormigón que estamos utilizando? Pues no porque el hormigón que se usa en cimentaciones especiales está sujeto a varios aspectos que no podemos conocer:
  • El primero es la profundidad. Vertemos el hormigón a través del tubo tremie a profundidades de hasta 40 metros. Parece prudente pensar que tenemos que ajustar el valor de la resistencia a compresión por la incertidumbre que esto supone. ¿Cómo está realmente el hormigón a 10, 20 o 30 metros?
  • No tenemos garantías reales de cómo se ha vertido. Es lamentable, pero es así.
  • Este es un concepto que se viene arrastrando por razones históricas desde que se iniciaron las cimentaciones especiales en España. A mi me han llegado a contar que, en las primeras pruebas que se hicieron para un muro pantalla, el hormigón se vertía directamente desde el camión, no se utilizaba Tremie, con lo que al desconocer el factor de segregación del hormigón por el vertido de altura, disminuyeron la resistencia del hormigón.

El valor que se considera del hormigón se denomina “coeficiente de trabajo del hormigón en cabeza”. El valor varía entre 35 y 50 kg/cm² normalmente y depende del criterio del calculista. En los libros de Jiménez Salas tenéis una explicación perfecta.
¿Qué dice la CTE? Os pongo la tabla explicativa a continuación.


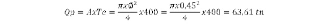
O sea, que para un pilote, CPI-7, en seco, de Ø450 mm, sin control de parámetros, según la CTE su capacidad portante sería de :


Comentarios importante: para un hormigón HA-25, hemos tomado para la resistencia a compresión un coeficiente de seguridad de 6,25 (en vez de 250 kg/cm² hemos tomado 40)
Seguiremos.


viernes, 13 de mayo de 2011

La tragedia de Lorca.

La verdad, tenía previsto hacer una entrada con el inicio de los métodos de cálculo de micropilotes, que lo tenía abandonado, pero lo del terremoto de Lorca va a hacer que cambiemos el orden y hablemos, superficialmente de momento, de la norma sismorresistente aplicable en nuestro país y siempre desde el punto de vista de las cimentaciones. Evidentemente, ni que decir tiene que lamento lo ocurrido.
Mirad, estaba viendo el telediario y viendo lo que había pasado en Lorca y empecé a escuchar cosas que “me extrañaron”; no sé, me pasa siempre que se habla de temas técnicos. Me llamó mucho la atención el grado defectos en las construcciones (esta tarde hablaban de un 56% de viviendas del pueblo afectadas, una barbaridad) y de “edificios que se han caído”; para más inri, parece que con edades inferiores a 8 años. Bueno, doctores tiene la iglesia y no seré yó quién juzgue el trabajo de un arquitecto que, estoy convencido, estaba convenientemente asesorado por un ingeniero de caminos en el cálculo de la estructura (y esa no es mala compañía).
Solo quiero poneros unas cuantas fotos de terremotos, a ver si veis algo raro…





El terreno se sifona, se licua,  las casas se hunden, se agrietan las paredes, hay brechas, pero ¿por qué en estos casos no hay derrumbamiento?
Seguiremos.


miércoles, 11 de mayo de 2011

La ejecución del pilote tipo CPI-7.



Cuando hablamos de este pilote en anteriores entradas, dijimos que era el más fácil, y la ejecución, evidentemente, también.

Vamos a ver exactamente los márgenes de ejecución que hay en estos pilotes, cual es la manera correcta de ejecutarlos y que hay que cuidar con relación a los operarios.

Lo primero que se le pide a la obra antes de ejecutar el pilote es el replanteo del eje de los pilotes. Estos se pueden hacer con una estaquilla de madera o un redondo de acero de unos 20 cms, clavados en el centro del pilote; y ahora que recuerdo, Alfonso Garrido me enseñó que la mejor forma de hacerlo es clavar un redondo de acero en el centro, hacer un pequeño hueco alrededor y rellenarlo de cal ¿Por qué? Uno de los problemas que se tiene cuando se ejecutan los pilotes es que, como se mueve mucha tierra, muchas veces los ejes quedan tapados con la tierra y buscarlos es complicado. Con la cal es el 
propio equipo de trabajo el que puede buscarlos y encontrarlos.

La máquina, una vez en obra y preparada para trabajar, sigue los siguientes pasos:

  • Se coloca cerca del pilote de manera que pueda perforar con facilidad y que pueda girar para echar las tierras en cada movimientoNivela el Kelly (la torre de la que cuelga la barrena). Normalmente las máquinas actuales tienen niveles interiores que les indica el desplome del Kelly y, algunas como los modelos de Casagrande, nivelación automática
Nota Importante: el equipo de pilotes debe llevar un nivel de mano para verificar que el nivel de la máquina está bien. Normalmente estos niveles  no se calibran ni se verifican oficialmente como un taquímetro pero eso es salvable con el nivel de mano. Una vez que la máquina ha nivelado, se pone el nivel de mano en un lateral del Kelly y, después, en otro lateral pero girando 90º. Y no vale hacerlo sólo al principio de la perforación. El equipo debe hacerlo con cierta periodicidad, dependiendo del estado de la máquina. Si no se hace, malo, malo.
  • Se sitúa la punta de la barrena sobre el eje, con ayuda del peón que indica al maquinista como se tiene que mover. 
  • Una vez situado, se clava la barrena en el suelo y se empieza a hacer el pilote, girando despacio al principio para hacer el hueco y después, a la velocidad que pida el terreno.
  • Se carga la barrena mediante giro a derechas.
  • Una vez cargada, se saca sin girar para extraer las tierras.
  • Y una vez arriba, se gira la máquina y se descarga la tierra mediante un giro rápido o por golpeo (como lo hacen las IMT, por ejemplo).

La ejecución del pilote tiene una serie de márgenes de error que son INEVITABLES; algunos de ellos se consideran en el cálculo y otros no.

Hay básicamente dos: la excentricidad accidental en planta y el desplome.

La excentricidad accidental en planta viene derivada de la dificultad de pinchar justo con la barrena en el centro del pilote y, además, que todos los elementos del Kelly (que normalmente es telescópico), estén rectos y verticales en ese momento. Los valores de esa excentricidad varían entre un 10%del diámetro equivalente para pilotes menores de 1,50 metros y de 15 cm para pilotes de más de 1,5 metros. Por poneros cifras, si uno hace un pilote de 450 mm y se va con la hélice 4,5 centímetros en cabeza, está dentro de la tolerancia. En la NTE se permitía hasta un 20%

El desplome máximo permitido es de 0,02metros por metro que se baje de pilote (un 2%). O sea (y vamos a ver si somos un poco serios) si yo hago una pantalla con un vaciado de 10 metros y en el fondo del vaciado se ha ido el pilote 20 cm, ¡¡¡esta dentro de tolerancia!!! Vale, me cargo la cámara bufa pero está bien, leñe. Por cierto, en la NTE se permitía hasta un 4%, o sea, que vamos mejorando

Seguiremos

lunes, 9 de mayo de 2011

Las barrenas de pilotes (IV). Tipos.


Ya hemos visto las partes fundamentales de las barrenas. Una barrena de tierra, utilizada para terrenos blandos, será cilíndrica, con dientes de tierra, dispuestos en un radio de la misma para que la perforación se haga de manera regular. La parte inferior de la barrena lleva un pincho que sirve para clavarla en el suelo cuando se inicia la maniobra. Esta parte se llama cola de pez y es genérica en casi todas las barrenas. Una variante de este tipo de barrena es la de doble entrada, en la que se intercala un tramo de espira que gira desfasada 180º. De esta manera más rápido y los dientes de tierra están dispuestos en un todo diámetro.
Barrena de tierra - 1 entrada
Barrena de tierra - dos entradas

Una manera de denominar al movimiento consistente en bajar la barrena mediante la máquina al fondo de la perforación, perforar y cargar la barrena de tierra y extraerla es barrenada. ¿Y cuanto perfora una máquina de pilotes con una barrena de tierra por barrenada? Pues, sorprendentemente, rara vez se baja más de 40-60 cm y eso contando con una barrena de 2 o 3 metros de longitud.
Barrena de Widia
¿Y las barrenas de WIdia? Exactamente iguales pero con dientes de widia en vez de dientes de tierra. Hay más diferencias. Se supone que la widia machaca el material con lo que el paso de las bandejas es menor en el caso de las segundas que en el de las primeras. Os pongo fotos de una de widia. ¿Y los dientes van iguales, en el diámetro de la barrena? Pues no en todos los casos. Cuando las rocas son blandas, como los yesos sacaroideos de Madrid, se ponen los dientes dispuestos en el diámetro de la barrena porque se busca una excavación homogénea. Si el terreno es más duro, y queremos aprovechar más el par de rotación de la máquina, los dientes se ponen en los extremos de la barrena, de manera que la rotura de la roca se hace con una barrena cónica. Este es el principio de la barrena de roca.
Barrena de Roca


Más herramientas. Para limpiar el pilote, o sea, para recoger el terreno que la barrena no puede o porque hay agua o fango, hay unas herramientas que se denominan cazos (buckets en ingles). Los hay con dientes de tierra, con dientes de widia, de fondo plano, se entrada simple, doble, etc.
Cazo
Cazo de limpieza

Y para perforara materiales duros, realmente duros, se recurre a una “testiguera” pero más grande. Estas herramientas se denominan carotieris, y son tubos que tienen dientes de widia en el contorno y sacan testigos reales del terreno. Sólo valen para roca.
Carotieri
De bien nacidos es ser agradecidos. Os pongo una dirección para todo lo relativo a herramientas que, además, no tienen mala pinta. La traducción de la página no es excesivamente buena pero, en fin, nadie es perfecto.


Y una buena dirección aquí en España, por su saber hacer y su honradez.




Seguiremos.

jueves, 5 de mayo de 2011

Las barrenas de pilotes (III). Los apellidos.

La tercera parte de las barrenas será la cabeza de la perforación, que determina el uso que se le va a dar. Dependiendo del tipo de terreno que vamos a perforar, los dientes de la barrena pueden cambiar y la forma de la cabeza también.
Normalmente la barrena puede tener dos tipos de dientes: de tierra o de widia.
El diente es, podríamos llamarlo, el normal, el que se usa en las máquinas de movimiento de tierras como las retroexcavadoras. Se compone de un sistema formado por:
·        Un portadiente, que normalmente va soldado a la herramienta de perforación.
·        El diente, que es el elemento que se degrada con el trabajo.
·        La chaveta, que es el elemento que une al portadiente con el diente.
El sistema es convencional y el único inconveniente que tiene es que, como no se tiene cuidado durante la perforación, los dientes se van desgastando y si no se cambian a tiempo, se termina desgastando el portadiente y hay que poner uno nuevo. Pensemos. Quitar un diente y poner otro es cuestión de minutos. Cambiar un portadiente supone desmontar la barrena de la máquina, cortar el portadiente desgastado con una radial y soldar un portadiente nuevo; pongamos que disponemos en obra de un soldador espabilado, con lo que nos llevaría la operación unos 20 minutos. Si tenemos otra barrena para seguir trabajando, vale, pero, ¿y si no?
Definitivamente, el número de portadientes desgastados es un parámetro muy importante a la hora de valorar a un equipo de perforación.
El diente de widia se utiliza cuando aparece dureza en el terreno. Primero, por si alguien no lo sabe, la widia es un diminutivo del alemán Wie Diamant ("como el diamante") y es carburo de wolframio o carburo de tungsteno al que se le añade de un 6 al 10% de cobalto. Es un material muy duro, resistente al desgaste y soporta bien las temperaturas altas.
Es sistema de montaje del diente de widia es muy parecido al el diente de tierra, con su correspondiente portapicas, con la única diferencia de que no existe chaveta y el diente entra a presión en el portapicas.
Varios comentarios antes ver los distintos tipos de barrenas.
·        La colocación de los dientes en la punta de la barrena es una ciencia. Su inclinación, su separación y su ángulo en planta es un secreto de estado, muchas veces intentado pero pocas veces conseguido.
·        Algunas casa de pilotes, cuando se les degasta la barrena, intentan conseguir el diámetro adecuado de perforación sacando los diente fuera de la barrena. Hombre, como que muy bien no queda, ¿no?
·        Los dientes de Widia son caros, bastante, y es lo que justifica que herramientas como la widia o el carotieri sean también caros. Es aconsejable que se guarden los dientes de widia desgastados y que se compruebe que rotación tienen. Más que recomendable, con esto evitamos que sea más caro.
Y como esta entrega está quedando larga, en la siguiente veremos ya los distintos tipos de barrenas en su conjunto.
Seguiremos.

martes, 3 de mayo de 2011

Las barrenas de pilotes (II).

Bienvenidos al mes de mayo. Vamos a continuar con las barrenas. Ahora, con las bandejas y el cuerpo central.

El cuerpo de la barrena lo consideramos desde donde termina el cuadradillo y hasta la cabeza de la perforación. Está constituido por una serie de espiras de acero alrededor un tubo central que le da continuidad. Aunque parece algo banal, la elección de las bandejas de la barrena puede determinar si un trabajo se realiza bien o, incluso, si se puede realizar.
·        El tubo: el diámetro del tubo suele ser no menor de 70 mm para que tenga rigidez y nunca mayor que la dimensión del cuadradillo, que es donde engancha la barrena con el pilote. Normalmente suele ser tubo hueco por economía y porque, en algún tipo de pilote, el alma del tubo es un espacio utilizable en el proceso de ejecución (ya hablaremos del CPI-8). Con relación a este aspecto, un tubo hueco hace una barrena más liviana y más manejable tanto para el transporte como para el trabajo pero si es necesario que el espesor del tubo será el suficiente como para que no se produzcan fallos en el eje de la barrena. No será la primera o la última barrena que se dobla, algunas veces por el tubo y otras porque el maquinista hace el bruto con la máquina y empuja más de lo debido.
En el caso de pilotes de pequeño diámetro, el tubo quita espacio a la barrena con lo que se reduce el rendimiento. Esta es una de las explicaciones por las que las empresas de pilotes ponen precios más caros para diámetros más pequeños (los pilote de 450 son más baratos que los pilotes de 400 – en época de crisis esto no se cumple -).
·        El espesor de las bandejas es también importante, porque es el canto de las mismas la que entra en contacto con el terreno, y en algunos casos produce desgastes erosiones importantes. Una barrena que se destroza en tres meses no es interesante (en general) y tampoco una barrena que cueste mucho porque se tardaría mucho en amortizar. Para ello se considera un espesor de bandeja de entre 1 y 2 centímetros y los cantos se recubren con electrodo anti desgaste, de manera que se llevan a taller a “recrecer” cuando este electrodo se deteriora, salvando así la integridad de la barrena. Como siempre en estos casos, hay que tener cuidado con los trabajadores que no siempre avisan del desgaste y, por no para o avisar, terminan destrozando herramienta innecesariamente.
·        El paso de la barrena, o sea, la distancia entre las bandejas entra ya dentro de los valores propios de los buenos profesionales. Si se está perforando un terreno suelto, un paso de barrena grande hace que el terreno no se quede en la barrena y se caiga cuando se está intentando sacar de la perforación. Si el terreno es arcilloso y tienen mucha compacidad, un paso pequeño haría que el terreno se comprimiera entre las espiras durante la perforación y, cuando se está intentando descargar, cueste mucho y se pierda mucho tiempo. ¿Cómo elegirlo, pues? En algunos casos, es un misterio y es un en base a la experiencia. En general diremos que los pasos de las barrenas pueden variar normalmente entre los 20 y los 30 cm y, jugando con ese baremo, no se deberían plantear problemas importantes.
He encontrado esta foto de una barrena de Ø450 mm de 3 metros de larga. Es curiosa, por lo menos
Seguiremos.